[Probability] Random variable, Cumulative density function
2024. 11. 27. 01:39ㆍ❎ Mathematic/Probability and Statistics
인공지능을 위해 확률을 공부 중이다.
오늘 포스팅은 확률 변수와 누적 확률 분포 함수이다.
[목차]
1. Random variable
2. Binomial Distribution
3. Gaussian Distribution
4. CDF
1. Random variable
확률변수는 확률공간의 결과를 숫자로 표현한 것이다.
예를 들어, 동전 던지기에서 확률변수 X에는 0(위), 1(아래)가 있다.
fX(x)는 x가 걸릴 확률을 의미한다.
f 함수가 Proper하기 위해선,
[1] 확률이 0보다 클 것
[2] Discret, Continuos 공간에서 전체 합이 1이 될 것

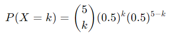
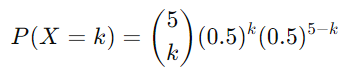
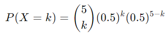
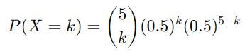
2. Binomial Distribution
이항분포는 n번 시행하고 성공한 횟수를 나타낸 확률분포이다.

예를 들어, 동전 던지기를 5번 수행하고, 3번이 나왔다고 하자.
k = 3이 될 것이다.

3. Gaussian Normal
가우시안 분포에 대한 f 식은 다음과 같다.
여기서 평균이 0이고 분산이 1이라면 표준정규분포가 된다.

4. CDF (cumulative density function)
누적 밀도 함수(FX)이며, fX(x)를 누적한 버전이다.
예를 들어, FX(3)은 f를 [-inf, 3]으로 적분한 것이다.

따라서 CDF가 +inf 까지면 1이고, -inf 까지면 0이다.
'❎ Mathematic > Probability and Statistics' 카테고리의 다른 글
| [Probability] Gamma Function과 이항정리/방데르몽 항등식 (0) | 2024.11.26 |
|---|---|
| [Probability] 확률 기초 개념과 성질 (0) | 2024.11.25 |