2022. 6. 25. 12:23ㆍ❎ Mathematic/Linear Algebra
행렬의 영공간이란?
행렬 A와 곱하여 영벡터를 만드는 모든 벡터 x의 집합입니다.
자세한 개념이 생각 안 나신다면 저번 포스팅을 보며 복습해주세요.
https://mengu.tistory.com/82?category=937657
[선형대수학] 행렬의 영공간 (Null space of a matrix)
행렬의 영공간에 대해 알아보는 포스팅입니다. 행렬은 어느정도 이해가지만, 영공간은 대체 무슨 말인지 모르겠습니다. 영공간을 이해하기 위해선 먼저 부분 공간에 대한 복습이 이뤄져야 합니
mengu.tistory.com
이번 포스팅에선 행렬의 영공간을 직접 구해보겠습니다.
📌 영공간 정의 복습
행렬 A가 있습니다. 3행 4 열이며, 벡터 x와 곱해지면 0 벡터가 된다는 것이 밑의 그림입니다.

위의 그림을 하나의 수식으로 표현한 것입니다.

행렬의 영공간 = 'Ax=0'을 만족하는 모든 벡터 x의 집합
다들 이제 기억나시나요? 그렇다면 바로 영공간을 구해보도록 하겠습니다.
📌 영공간 계산 첫 단계
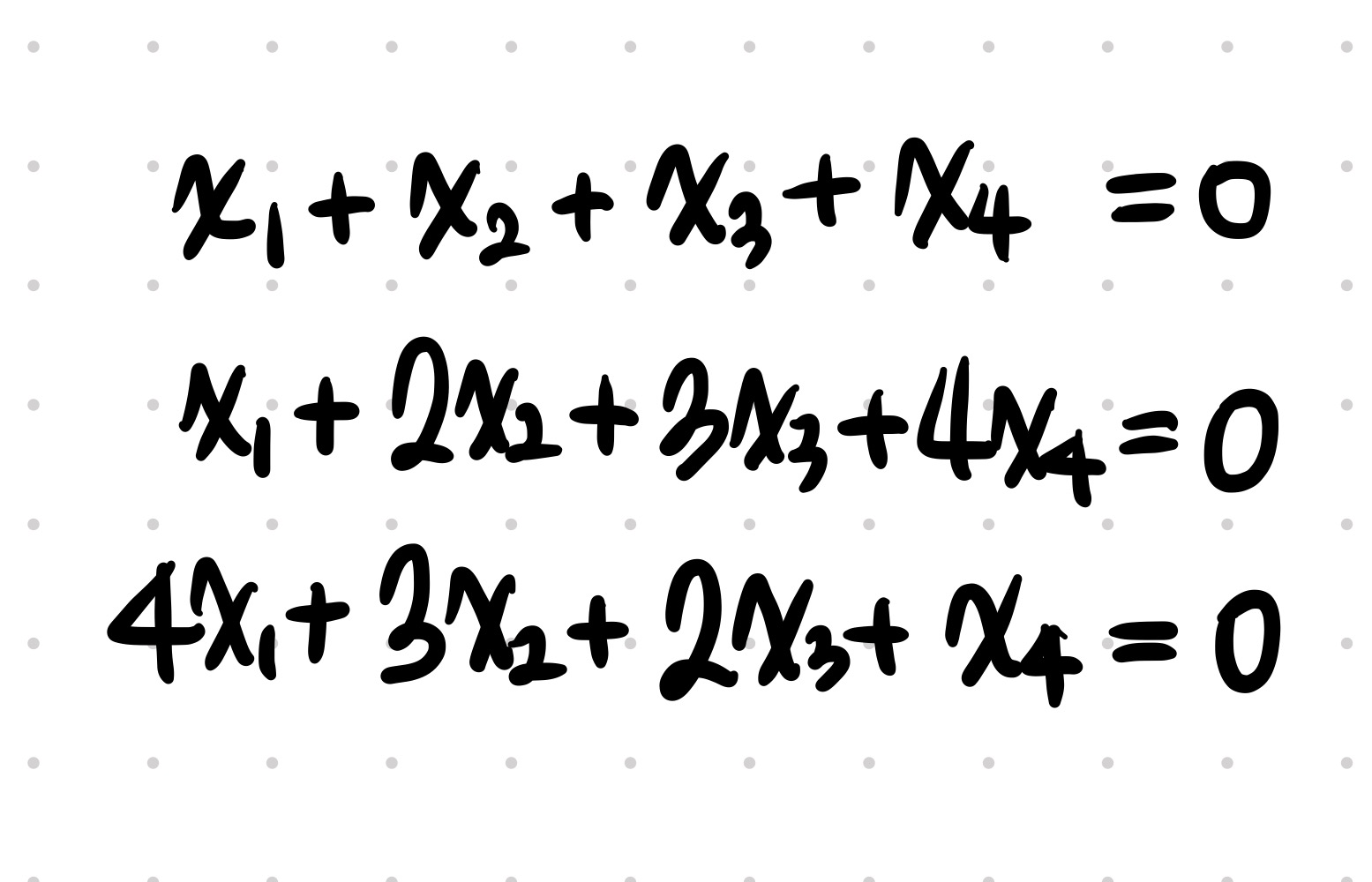
행렬 A와 벡터 x를 곱해줍니다. (1X4)의 영벡터가 본래 결과이며, 밑의 수식들은 곱에 따른 결과입니다.
즉, 곱 결과 = 0이며 이를 만족하는 x1, x2, x3, x4를 찾으면 영공간을 찾을 수 있을 것입니다.

* 위의 수식을 만족하는 x1~4까지 찾아라!
📌 첨가 행렬 꼴
변수가 4개 이상인 방정식을 풀기 위해 첨가 행렬 꼴을 이용합니다.

사실 이름만 거창할 뿐, 자세히 보면 x의 계수들을 써놓은 것에 지나지 않습니다.
왼쪽은 x의 계수들을, 오른쪽은 각 수식들의 결과 값입니다.
📌 기약행 사다리꼴 만들기
첨가 행렬꼴을 바탕으로 기약행 사다리꼴을 만듭니다.
만드는 과정에서 방정식은 간소화되고 쓸만한 정보로 바뀝니다.
첫 번째 변형에선 둘째 행을 첫째 행으로 뺀 값을 둘째 행에 넣었습니다.

두 번째 변형에선 첫째 행을 4로 곱하고 둘째 행을 뺐습니다. 그 값을 세 번째 행에 넣었습니다.

마지막 변형에선 첫째 행에서 둘째 행을 뺐습니다.
그 결과 기약행 사다리꼴이 완성되었습니다.

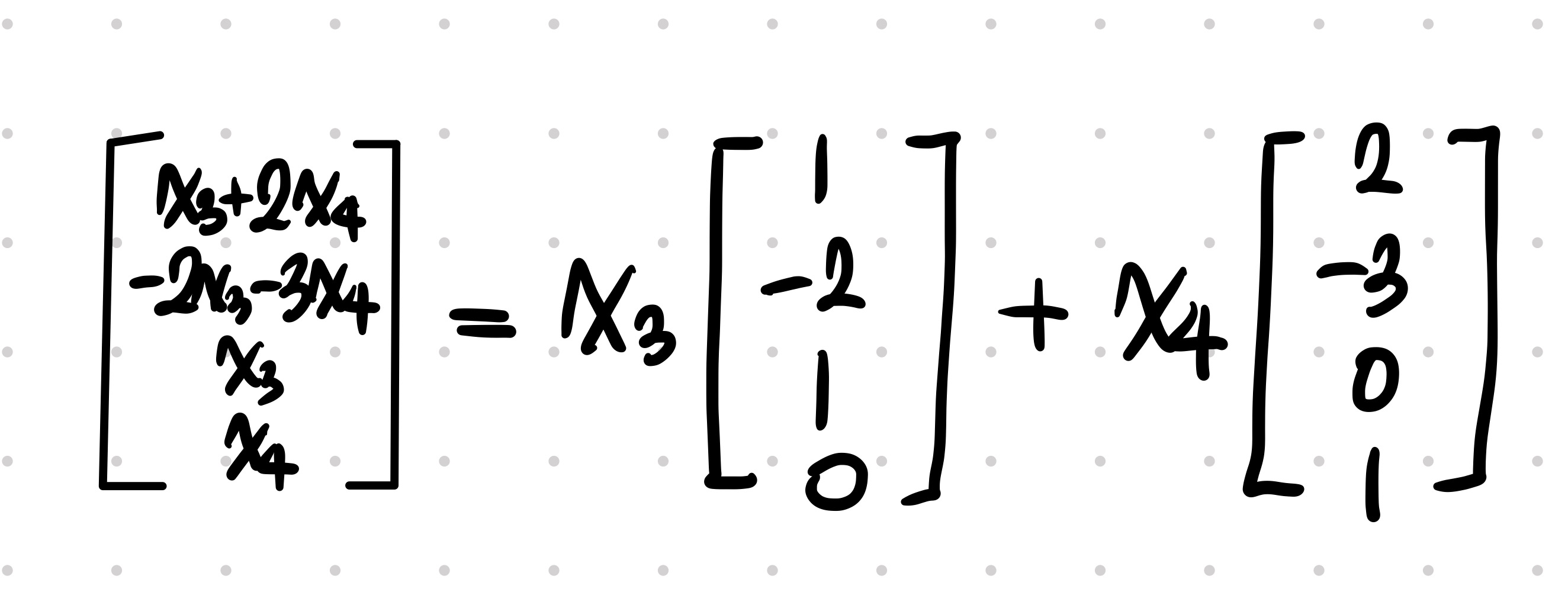
📌 영공간의 요소들 정의하기
기약행 사다리꼴을 다시 방정식으로 써줍니다.
그럼 왼쪽 아래와 같습니다. 다시 방정식을 x1, x2에 대한 식으로 변형합니다.

x1, x2도 x3와 x4로 설명이 가능함으로 모든 변수를 x3, x4 만 남도록 바꿔줍니다.
그 결과, 밑의 오른쪽 수식과 같이 벡터 x를 표현할 수 있게 되었습니다.

📌 행렬의 영공간 final
여기서 잠시! x3과 x4는 실수입니다. 어느 수든 실수라면 상관없습니다. 즉, x3과 x4에 따라 무수한 값이 나올 수 있으며 결국 영공간은 해집합이라는 것을 알 수 있습니다.
혹시 Span(v1, v2) 기억나시나요? v1, v2로 구성할 수 있는 모든 벡터를 가리킵니다.
그렇습니다. 이 개념은 행렬의 영공간과도 연결됩니다.

앞서 확인한 x3, x4와 곱해지는 벡터 2개를 Span의 벡터 값이라고 생각한다면?
행렬의 영공간도 Span(v1, v2)라고 볼 수 있을 것입니다.

위의 수식이 최종 행렬 A의 영공간이 되겠습니다.
지금까지 행렬의 영공간을 구하는 방법에 대해 알아보았습니다.
고생하셨습니다.
'❎ Mathematic > Linear Algebra' 카테고리의 다른 글
| [선형대수학] 행렬의 열공간 (Column Space of a Matrix) (0) | 2022.07.22 |
|---|---|
| [선형대수학] 영공간과 선형독립 간의 관계 (Relation of null space to linear independence of columns) (0) | 2022.07.05 |
| [선형대수학] 행렬의 영공간 (Null space of a matrix) (1) | 2022.06.19 |
| [선형대수학] 행렬 벡터의 곱 (0) | 2022.06.18 |
| [선형대수학] 평면 사이의 거리 구하기 (0) | 2022.04.25 |