2022. 6. 18. 12:41ㆍ❎ Mathematic/Linear Algebra
행렬과 벡터를 곱하면 어떻게 될까요?
오늘은 행렬 벡터의 곱에 대해 다뤄보도록 하겠습니다.
📌 행렬 A와 벡터 x의 곱셈
행렬과 벡터는 서로 곱할 수 있습니다. 하지만 어떻게 곱해지는지 잘 살펴야 제대로 활용할 수 있습니다.
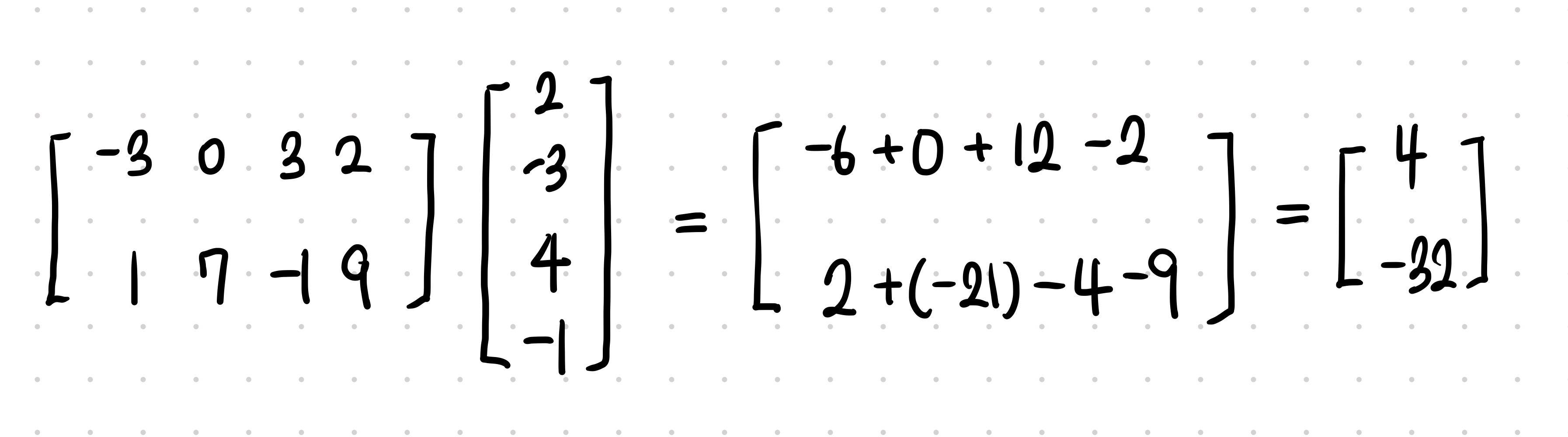
결론부터 말하자면, 행렬 A(m*n)와 벡터 x(n*1)을 곱하면 벡터 b(m*1)이 나옵니다.

벡터 b의 첫 번째 열인 b1은 (a11*x1 + a12*x2 +.... + a1m*xn)과 같습니다.
밑의 예시를 보면 더 확실하게 이해할 수 있습니다.

즉, 행렬과 벡터의 곱은 행렬의 각 열과 벡터 내적의 집합니다.
이해가 안 갈 것을 예상했으므로, 좀 더 쉬운 관점을 보여주겠습니다.
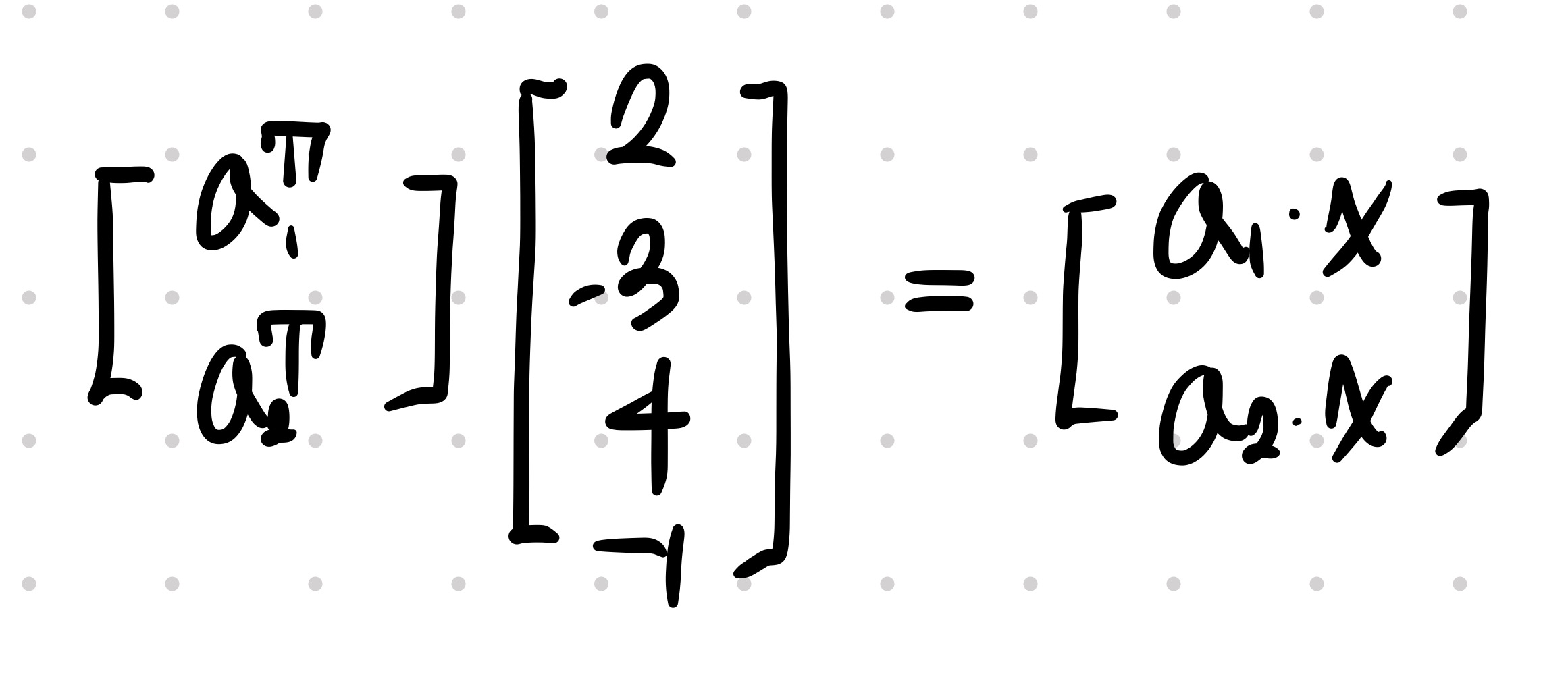
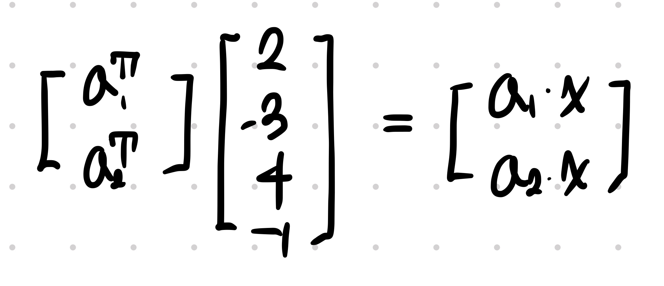
📌 첫 번째 관점 : 행 벡터와 벡터 x의 내적
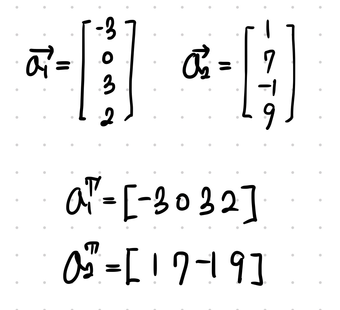
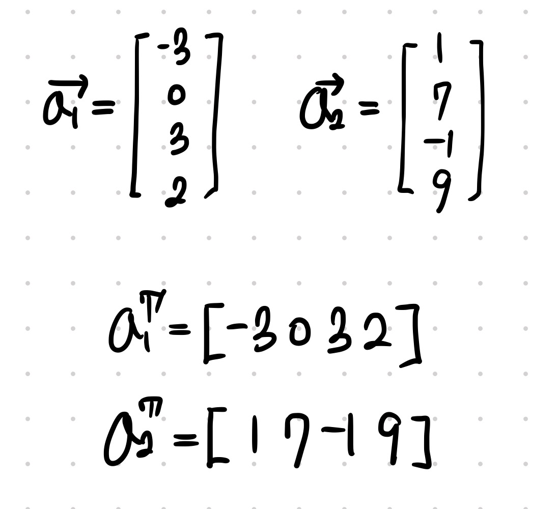
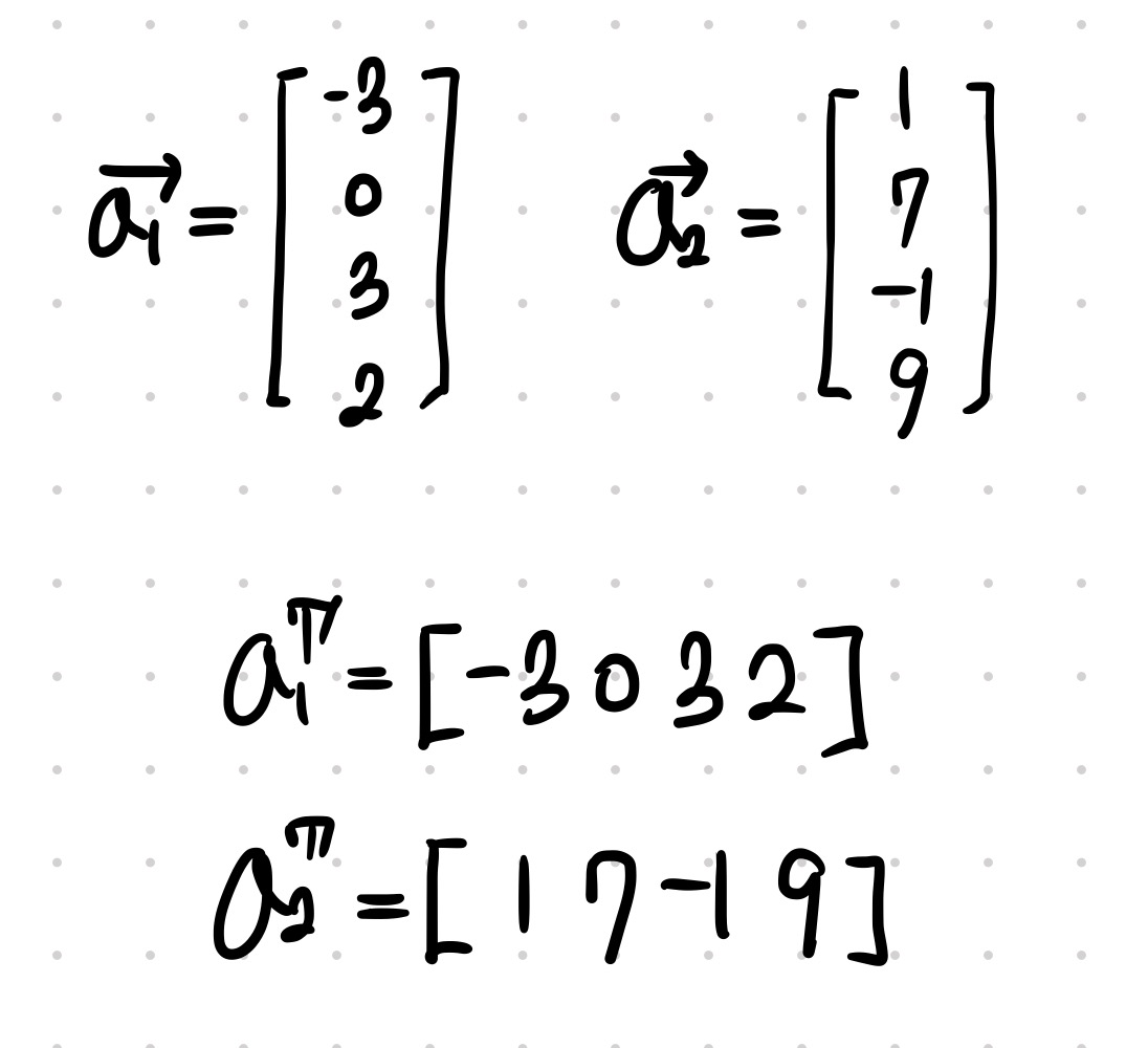
행렬 A를 두 개의 행벡터 a1과 a2가 있는 행렬이라고 생각해봅시다.

다음은 행벡터 a1과 행 벡터 a2의 값입니다.
그리고 두 행벡터를 역치 했을 때의 모습입니다.

결국 행렬 A는 행벡터 a1과 a2의 역치를 담고 있는 행렬이라고 볼 수 있습니다.
행렬 A와 벡터 x의 곱셈은 [행 벡터 a1과 벡터 x의 내적, 행 벡터 a2과 벡터 x의 내적]으로 볼 수 있습니다.

직접 계산해보면 똑같은 결과가 나온다는 것을 알 수 있습니다.
📌 두 번째 관점 : 열 벡터와 벡터 x의 내적
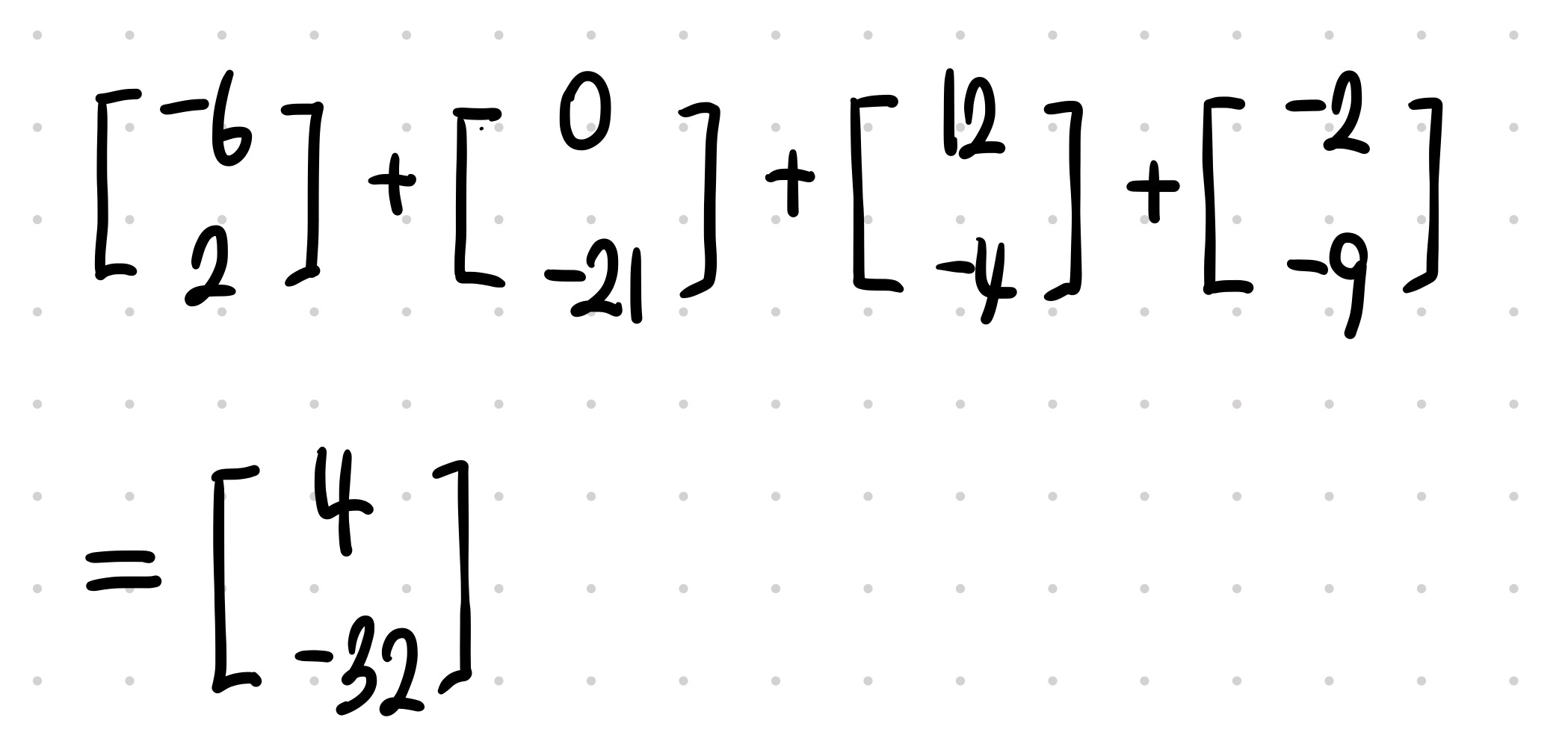
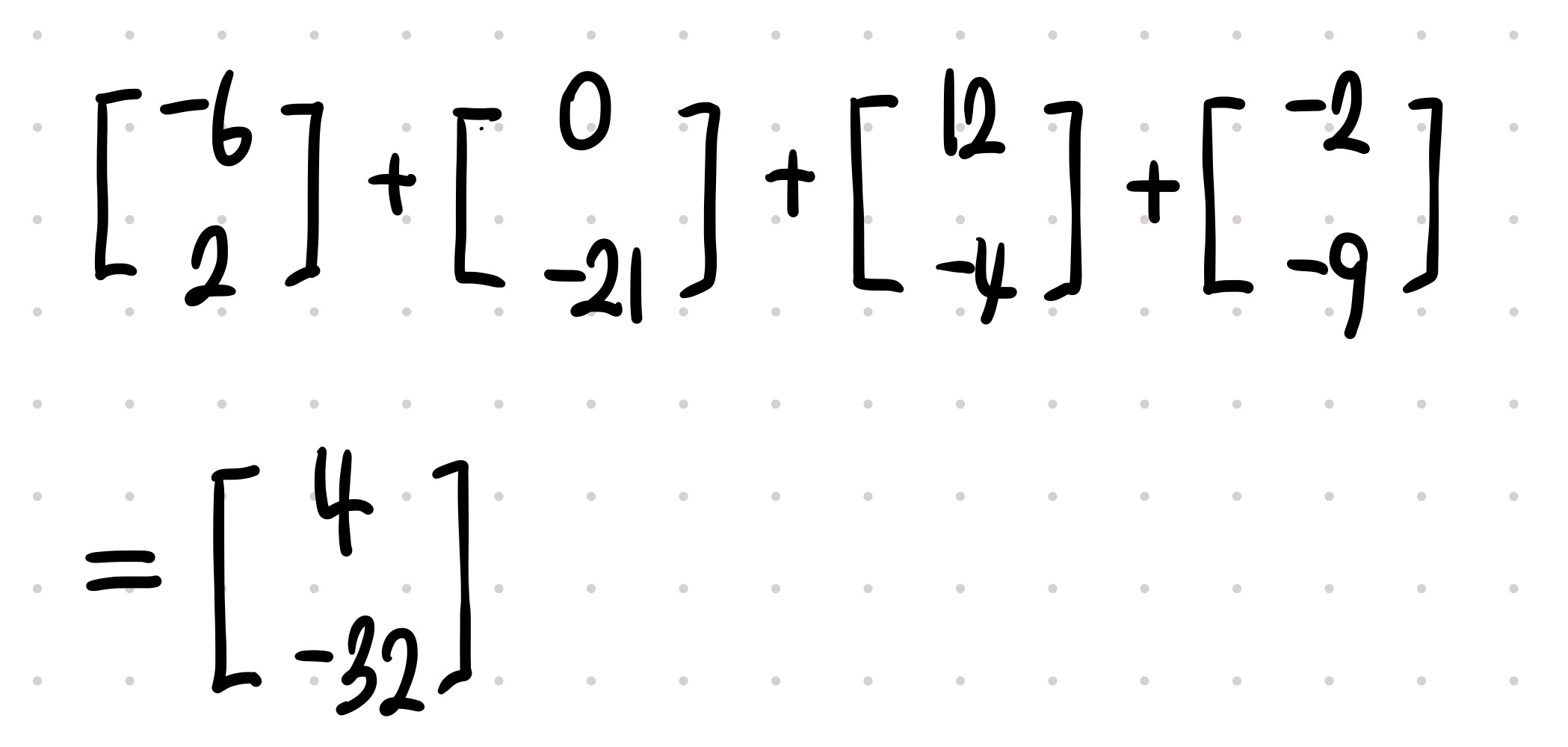
행렬 A를 4개의 열 벡터(v1, v2, v3, v4)의 집합으로 생각해봅시다.

이렇게 행렬 A가 표현되면, 행렬 A와 벡터 x의 곱 결과는 어렵지 않게 예상할 수 있습니다.

자, 이제 실제 값들을 넣어봅시다.

처음 구했던 행렬 A와 벡터 x의 곱 결과가 나왔습니다.
행렬과 벡터의 곱을 설명하면서 여러 관점을 설명한 것은
(1) 좀 더 명확한 이해와 더불어
(2) 다양한 시각으로 문제 바라보기
를 위해서였습니다.
행렬 벡터의 곱 원리가 이해되셨길 바라며, 행렬벡터 곱의 주의점만 간략하게 언급하고 포스팅을 끝마치겠습니다.
💥 행렬벡터 곱셈 시 주의할 점
곱셈 시, 둘의 행과 열의 값을 잘 살펴볼 필요가 있습니다.
m행 n열을 가진 행렬과 곱하려면 무조건 n행을 가져야 합니다. 이유는 간단하게 알 수 있습니다.
앞서 행렬벡터 곱셈을 열 혹은 행 벡터의 내적으로 보았습니다. 내적을 하려면 서로 짝짓는 쌍이 필요합니다.
그렇기에 무조건 앞의 행렬의 열 값과 같은 n행을 가져야 합니다.

곱셈 후의 행과 열의 변화입니다.
2번째 예시는 성립이 되지 않는다는 것을 알 수 있습니다.

'❎ Mathematic > Linear Algebra' 카테고리의 다른 글
| [선형대수학] 행렬의 영공간 계산하기(Calculationg the null space) (2) | 2022.06.25 |
|---|---|
| [선형대수학] 행렬의 영공간 (Null space of a matrix) (1) | 2022.06.19 |
| [선형대수학] 평면 사이의 거리 구하기 (0) | 2022.04.25 |
| [선형대수학] 점과 평면 사이의 거리 (0) | 2022.04.15 |
| [선형대수학] 평면 방정식의 법선벡터 (0) | 2022.04.14 |